Nanometri è un sottomultiplo del metro e significa un miliardesimo di metro. In linguaggio scientifico le grandezze vengono espresse in potenze di dieci. Volendo indicare 1000 lo si fa con la potenza 103 e, come si può vedere, la potenza indica proprio il numero di zeri dopo l’uno. Per indicare sottomultipli si utilizzano esponenti negativi: un millesimo sarebbe 0,001 e si indica 10-3 che indica anche in questo caso il numero di zeri presenti, ma il primo prima della virgola e gli altri dopo di essa e prima dell’uno. Ogni tre ordini di grandezza esiste un prefisso da mettere all’unità di misura per indicare la potenza di dieci a cui ci riferiamo. Ad esempio il kilo-metro indica 1000 metri, ossia 103 metri. I prefissi per i multipli sono tanti ma ci fermiamo a
mentre per i sottomultipli abbiamo
Osservare nella banda radio
Come fate una foto ad un paesaggio? Puntate la macchina o lo smartphone, mettete a fuoco e scattate. Anche per le foto astronomiche il procedimento non è molto diverso, anche se il tempo tra lo scatto e il termine dell’acquisizione dell’immagine può essere molto lungo. Ma come facciamo ad ottenere una immagine da un radiotelescopio? Anzitutto, come abbiamo visto nella sezione La radiazione elettromagnetica la lunghezza d’onda della radiazione radio è diversa, quindi per la radiazione radio dobbiamo usare un sistema di rivelazione diverso rispetto alla radiazione visibile. Il comportamento delle onde elettromagnetiche è molto simile alle diverse lunghezze d’onda, ma le diverse energie dei fotoni impongono una differenza nel tipo di rivelatori: un fotone di luce visibile può generare elettroni in un CCD, un dispositivo sensibile montato su tutte le fotocamere e gli smartphone, mentre per un’onda elettromagnetica radio serve una barra di metallo. Il modo in cui viene rivelato e registrato un fotone radio lo illustriamo nella sezione La catena di acquisizione di un radiotelescopio.
In questa sezione, invece, ci occuperemo di come raccogliamo la radiazione e degli artifici che abbiamo sviluppato per ottenere immagini astronomiche utili agli studi che si devono effettuare.
Prima di parlare del radiotelescopio dobbiamo introdurre alcune informazioni che riguardano l’ottica geometrica.
Un qualsiasi strumento ottico, compresi i vostri occhi, funziona in quanto possiede una “finestra” da cui entra la radiazione. Consideriamo l’occhio per prima cosa. Ne vedete uno schema in sezione in fig. 1.
La luce entra nell’occhio attraverso la cornea, che è la prima lente a deviarla, quindi attraversa la pupilla e viene subito rifratta da una lente che si trova immediatamente dietro la pupilla, il cristallino. Il fuoco del sistema cornea-cristallino è circa a due terzi del diametro dell’occhio ed è fatto in modo da essere esattamente della lunghezza necessaria perché l’immagine si formi sulla retina. A volte ci sono dei difetti di vista che non permettono al cristallino di fare il suo mestiere come si deve, ma concentriamoci su un occhio senza difetti. Intanto, vediamo come si forma un’immagine sulla retina. Guardiamo la fig. 2
Fig. 1
Nella figura vediamo lo schema ottico di un occhio umano che mostra come viene vista una freccia rivolta verso l’alto. I raggi luminosi provenienti dagli estremi della freccia verde passano attraverso cornea, pupilla e cristallino e convergono sulla retina. L’immagine che si forma è capovolta, a causa dell’effetto di convergenza di cornea e cristallino che fanno da lenti. La stessa cosa si verificherà in ogni direzione. Essendo l’occhio a simmetria sferica, in qualunque direzione un oggetto sia esteso si invertiranno le direzioni: nel caso orizzontale ad essere ribaltate saranno destra e sinistra. Il nostro cervello provvede poi a fare una inversione, per consentirci di vedere la realtà nello stesso senso di come noi percepiamo alto e basso, dalla nostra percezione della gravità e dell’equilibrio, e destra e sinistra, vista la nostra simmetria assiale e la lateralizzazione: siamo simmetrici se divisi per il lungo e abbiamo una preferenza per una delle due mani.
Fig. 2
Quando guardiamo in un cannocchiale o un binocolo oggetti lontani li vediamo allo stesso modo dell’occhio umano, ribaltati, anche se stavolta a deviare la luce in strumenti come questi sono due lenti convergenti, l’obiettivo e l’oculare.
L’obiettivo svolge il ruolo della pupilla e del cristallino, l’oculare posto alla giusta distanza fa il lavoro opposto all’obiettivo, portando i raggi luminosi da convergenti a paralleli, come prima di entrare nel cannocchiale. Per vederlo possiamo considerare il primo strumento ottico studiato per l’osservazione astronomica.
Il telescopio, come lo concepiamo oggi, è stato inventato da Galileo Galilei, modificando il cannocchiale, strumento già in uso nella navigazione ma che non era mai stato utilizzato per ingrandire oggetti presenti nel cielo notturno. Galileo non lo chiamò telescopio, ma mantenne il nome originale di cannocchiale, ossia occhiale a forma di canna.
Un telescopio come quello di Galileo funziona come nella fig. 3.
La radiazione proveniente dall’oggetto che si sta osservando, sia esso una galassia lontana o un pianeta del nostro Sistema Solare, entra nello strumento dall’apertura a destra e attraversa l’obiettivo, che a causa della rifrazione devia i raggi luminosi fino a concentrarli in punto detto fuoco della lente. Da quel punto i raggi proseguono fino ad incontrare l’oculare, che permette la visione ad un occhio posto dietro ad esso. Le due lenti hanno una diversa distanza tra il centro della lente e il fuoco, distanza chiamata focale e i fuochi delle due lenti devono coincidere. Dal rapporto tra queste distanze dipende l’ingrandimento del telescopio.
Fig. 3
Questo tipo di telescopio è chiamato rifrattore, proprio perché utilizza la rifrazione della luce attraverso delle lenti.
Ma per ottenere questo risultato non è per forza necessaria una lente come obiettivo. È infatti possibile sostituire l’obiettivo con uno specchio concavo, come si vede in fig. 4.
I raggi luminosi, dopo aver colpito lo specchio, vengono riflessi verso il fuoco dello specchio e da lì possono essere riflessi nuovamente e poi indirizzati ad un oculare. Lo schema che avete visto in fig. 4 è chiamato Newtoniano, da Isaac Newton che lo sviluppò essenzialmente per poter osservare attraverso uno specchio concavo ma in una direzione diversa da quella dell’asse del telescopio, in modo che l’osservatore non fosse tra l’oggetto da studiare e lo specchio.
Fig. 4
Fig. 5
Quello che vedete nella fig. 5 è uno schema Cassegrain, da Laurent Cassegrain l’astronomo francese che lo disegnò.
Qui dopo lo specchio concavo, identico alla montatura Newtoniana, ce n’è uno convesso, che riflette nuovamente la radiazione verso l’oculare. Questa montatura ha il pregio di allungare la distanza focale. Mentre, infatti, nella montatura Newtoniana la focale è pari al fuoco dello specchio primario, l’introduzione dello specchio secondario nella Cassegrain fa sì che la focale totale del telescopio si prolunghi di tutta la focale dello specchio secondario. Inoltre, la montatura Cassegrain consente di posizionare l’osservatore nello stesso punto in cui si trova l’osservatore con un telescopio rifrattore. Un telescopio che utilizzi uno specchio per concentrare la radiazione è chiamato riflettore, per l’ovvia ragione che si utilizza la riflessione per concentrare la radiazione e non la rifrazione.
Perché usare uno specchio invece di una lente? Perché una lente molto grande diventa pesante e fragile. E perché ci servono telescopi di grandi dimensioni, lo spieghiamo attraverso due importanti caratteristiche di ogni telescopio.
Sensibilità di un telescopio
La quantità di radiazione raccolta da un qualsiasi strumento, occhio compreso, dipende soltanto dall’area dell’apertura che raccoglie la radiazione e quindi dal suo diametro. Possiamo vedere la cosa in questo modo. Supponiamo di voler raccogliere la pioggia e di misurarne la quantità in litri per sapere quanta ne sia caduta. Facciamolo con un secchio e l’acqua che si raccoglie sul fondo la misuriamo con un contenitore graduato. Supponiamo che piova un millimetro d’acqua sul fondo del secchio. In questo modo la quantità di acqua sarebbe veramente esigua e se consideriamo le perdite dovute all’evaporazione o alla piccola quantità di gocce che rimangono sul secchio, potremmo perdere una quantità davvero piccola di acqua ma paragonabile a quella che vogliamo misurare. Proviamo a fare la stessa operazione con una piscina.
Il fondo della piscina si coprirebbe sempre di un millimetro di acqua, perché la quantità d’acqua che piove è sempre la stessa per metro quadro, ma un millimetro moltiplicato per la superficie della piscina fa molti litri d’acqua, che sono molto più facilmente misurabili. È questa la differenza tra uno strumento poco sensibile ed uno molto sensibile: la quantità che deve essere misurata è molto più grande dell’errore che si può fare nel misurarla. Se anche avessimo solo poche gocce d’acqua da raccogliere con una spugna da un fondo di piscina raccoglieremmo diverse spugne imbevute d’acqua, una quantità decisamente misurabile, mentre dal fondo di un secchio non avremmo abbastanza acqua da poterla misurare. Ecco perché un telescopio con una grande diametro raccoglie più luce e ci permette di vedere oggetti molto più deboli di un telescopio di diametro minore.
Adesso consideriamo un telescopio come quello di Galileo. Se volessimo costruirne uno più grande dovremmo fabbricare una lente dal grande diametro e quindi molto pesante, difficile da montare su una struttura e soprattutto sollecitata dal peso si spezzerebbe, essendo fragile. Se invece adoperiamo uno specchio possiamo poggiarlo su un supporto che ne porti il peso quando si punta un oggetto astronomico da osservare e in questo modo si possono costruire telescopi molto più grandi con meno problemi. Se avete già visto in Un po’ di storia la scoperta dei raggi infrarossi, conoscete William Heschel e il suo telescopio da un metro di diametro, possibile da costruire proprio perché era dotato di uno specchio di quel diametro. Attualmente il telescopio ottico con il diametro maggiore è il Large Binocular Telescope (LBT), con un diametro di 11,9 metri anche se dovuto alla combinazione di due specchi da 8,4 metri ciascuno, mentre quello a specchio singolo più grande mai costruito è il Gran Telescopio Canarias, di 10,4 metri di diametro. Inoltre, gli specchi più grandi possono adesso essere costruiti montando insieme elementi esagonali uno accanto all’altro, fino a coprire grandi dimensioni. Un esempio è il James Webb Telescope, attualmente nello spazio a un milione e mezzo di chilometri dalla Terra. Qui sotto vedete alcune immagini dei telescopi che abbiamo elencato.
LBT
Telescopio Canaris
James Webb Space Telescope
Potere risolutore
Un’altra importante grandezza per un telescopio è il più piccolo dettaglio che si può osservare. Guardate la fig. 6
Potete vedere in primo piano due alberi di cui distinguete bene le foglie, ma sullo sfondo ci sono altri alberi le cui foglie non sono distinguibili singolarmente. Intuitivamente, la distanza impedisce di vedere le foglie singole degli alberi lontani, ma perché? Vediamo come funziona il potere risolutore.
Consideriamo i due punti blu in fig. 7 e la loro distanza angolare. La distanza angolare si ottiene immaginando di far partire dal telescopio due raggi verso i due punti, come i raggi arancione che vedete in figura: l’angolo compreso tra questi due raggi è proprio la distanza angolare tra i due punti, ossia l’angolo sotto cui vediamo i due punti.
Ora, consideriamo l’animazione di fig. 8: la distanza angolare diminuisce man mano che il telescopio si allontana dai due punti. Quindi più siamo lontani dall’oggetto che osserviamo, minore sarà l’angolo tra due dettagli che vogliamo distinguere.
Esiste un angolo limite, chiamato potere risolutore, che decide quale sarà il dettaglio più piccolo che si può distinguere dagli altri. Se la distanza angolare sotto cui vediamo due foglie è più piccola del potere risolutore dell’occhio, le foglie non si potranno distinguere e sembreranno un unico blocco. Ecco perché le foglie dell’albero vicino, nella figura vista prima, si distinguono, mentre quelle degli alberi lontani hanno distanze angolari tra loro molto più piccole e gli alberi vengono visti come un unico ammasso di materiale verde.
Vediamo cosa succede in fig. 9. La distanza angolare (linee rosse) tra le due stelle è la stessa per tutti e tre gli esempi ma il potere risolutore (linee blu) è diverso. Sotto a ciascun esempio è disegnato ciò che vedremmo con quel potere risolutore e quella distanza angolare. Nel caso A la distanza angolare è inferiore al potere risolutore e vedremmo le due stelle confuse in un’unica sorgente con la luminosità delle due stelle messe insieme. Nel caso B la distanza angolare è quasi uguale al potere risolutore e le due stelle sono debolmente separate, sono come un oggetto allungato ma non sono ancora pienamente distinte. Nel caso C, infine, le due stelle hanno una distanza angolare decisamente superiore al potere risolutore e vengono viste ben separate tra loro.
Attenzione a non confondere il potere risolutore con il campo di vista: Il potere risolutore ci dice qual è il più piccolo “pixel” che possiamo distinguere dagli altri, ma il campo di vista è dato da tutta la regione di spazio la cui radiazione riesce a entrare nel nostro strumento ottico. Un esempio lo diamo in fig. 10.
Fig. 8
Fig. 6
Fig. 7
Fig. 9
Fig. 10
Il potere risolutore dipende da due fattori: la lunghezza d’onda della radiazione a cui stiamo osservando e il diametro dello strumento che adoperiamo. In particolare la relazione che li lega è
dove α (alfa, lettera greca) è il potere risolutore, cioè l’angolo limite in radianti del nostro strumento ottico, λ (lambda, anch’essa lettera greca) la lunghezza d’onda, D il diametro dello strumento e 1,22 un fattore di proporzionalità.
Questo significa che avendo il diametro di uno strumento e la lunghezza d’onda della radiazione alla quale lo stiamo adoperando possiamo sapere quale sarà la minima distanza angolare tra i dettagli che possiamo distinguere. Facciamo un esempio con il nostro occhio.
La lunghezza d’onda della luce gialla è 550 nm nanometri (vedete anche La radiazione elettromagnetica), il diametro della nostra pupilla, in luce piena, possiamo considerarlo intorno a 3 mm, quindi
ossia in secondi d’arco α= 46”
In effetti questi numeri significano poco se non si ha dimestichezza con le dimensioni angolari. Facciamo qualche esempio. La distanza tra gli occhi di una persona è di circa 6 cm. Se guardati da lontano vedremo gli occhi come separati fino a circa 267 metri, cioè già a circa 270-275 metri vedremo gli occhi sul volto di qualcuno come confusi in un’unica macchia scura. Oppure, considerando che la distanza tra i due fari di un’auto è circa 1,8 metri, li inizieremmo a vedere come un’unica luce dalla distanza di circa due chilometri e mezzo in su. O ancora, visto che le foglie di un albero possono essere distanti tra loro circa 4 cm, vedremo la chioma come un’unica macchia verde, senza poter distinguere le singole foglie, a partire da 112 metri di distanza.
Dall’equazione di calcolo del potere risolutore vediamo che maggiore è il diametro dello strumento migliore sarà il potere risolutore e quindi più dettagli potremo individuare. Per rendercene conto possiamo guardare la fig. 11: in essa vediamo il pianeta Saturno come lo vedremmo ad occhio nudo, essenzialmente un puntino luminoso. Nessun dettaglio dei grandi anelli o della struttura a strisce è visibile senza un telescopio. Nella fig. 12 abbiamo invece tre immagini ottenute con telescopi dal diametro di 5, 7 e 15 cm rispettivamente. Infine, nella fig. 13 vediamo una immagine di Saturno presa dal telescopio spaziale Hubble, dal diametro di 2,4 m. I dettagli aumentano al crescere del diametro dello strumento, come abbiamo detto, perché la lunghezza d’onda della radiazione ottica a cui osserviamo resta più o meno la stessa.
Fig. 12a
Fig. 12b
Fig. 12c
Fig. 13
Fig. 11
Il radiotelescopio
Il radiotelescopio è, come dice il suo nome, un telescopio per osservare radiazione radio. Vale la pena ricordare, come già illustrato nella sezione Un po’ di storia, che la radiazione radio è stata chiamata così perché si propaga in linea retta, lungo un “raggio”, radius in latino. Poi, a causa dell’uso che se ne è fatto, anche l’apparecchio che per decenni ha costituito il principale mezzo di informazione ne ha assunto il nome e adesso chiamiamo “radio” qualunque sistema di comunicazione audio a distanza, a parte il telefono. Che però da circa quarant’anni a questa parte trasmette anch’esso via radio: ma non divaghiamo.
Quindi, si tratta di un telescopio da tele, prefisso greco che significa lontano, e skopia che vuol dire osservare, spiare. Un telescopio è uno strumento che osserva da lontano. Radiotelescopio indica uno strumento che fa lo stesso lavoro di un telescopio ottico ma osservando fotoni radio. Per sapere cosa siano i fotoni e cosa intendiamo quando parliamo di banda radio potete fare un salto nella sezione La radiazione elettromagnetica.
Struttura di un radiotelescopio
In fig. 14 vediamo due immagini del radiotelescopio di Noto. Come vedete è formato da una struttura in acciaio che regge il telescopio vero e proprio. Questa struttura è poggiata su quattro ruote, due delle quali motrici, che rotolano su una rotaia anch’essa in acciaio. La rotaia è costruita in modo da poter reggere le 310 tonnellate del radiotelescopio completo. Due motori passo-passo sono montati su due delle ruote e consentono di movimentare il radiotelescopio in orizzontale, permettendogli di puntare in qualunque direzione a 360 gradi. La struttura regge un cesto fatto di travi d’acciaio che a loro volta reggono lo specchio primario, quelle piastre bianche che vedete nella seconda immagine. Il cesto è montato su un asse orizzontale e due motori permettono di alzare e abbassare il cesto per orientare in direzione alto-basso lo specchio primario. In questo modo, muovendo l’antenna in orizzontale e in verticale, possiamo puntarla con precisione in ogni direzione del cielo, per osservare sorgenti specifiche di cui conosciamo la posizione.
Cominciamo con l’osservare che vi ho detto che le piastre bianche, fatte in alluminio e verniciate con materiali inerti alle onde elettromagnetiche, costituiscono lo specchio primario. Ovviamente voi avete un’idea di “specchio” molto diversa, in uno specchio si vedono riflesse le immagini dei dintorni, non a malapena la luce che lo illumina. Vi devo smentire: per la radiazione elettromagnetica uno specchio è una superficie che abbia imperfezioni inferiori a 1/8 della lunghezza d’onda della radiazione stessa. Questo significa che ogni superficie che abbia questa caratteristica riflette la radiazione elettromagnetica.
Ma allora perché non ci si vede riflessi in questo strano “specchio” dal diametro così imponente? Tutto dipende dalla lunghezza d’onda della radiazione coinvolta. Lo specchio di casa vostra, per fare il suo mestiere, deve riflettere una radiazione che ha una lunghezza d’onda, ad esempio, di 550 nm (nanometri) quindi deve avere imperfezioni inferiori a 68 nm circa. Avete presente un millimetro su una qualunque squadretta da disegno? Le imperfezioni del vostro specchio devono essere più piccole di quel millimetro di quasi 15000 volte! Solo così potrete farvi la barba o truccarvi vedendo quello che fate. Ma se la radiazione fosse radio? Una lunghezza d’onda tipica della banda radio è 21 cm. Quindi una imperfezione su una superficie che possa riflettere senza comprometterla una radiazione di quella lunghezza d’onda deve essere inferiore a 2,6 cm. Guardate la vostra mano con le dita aperte o se volete immaginate una rete con le maglie spaziate tra loro di meno di 2 centimetri e mezzo: questi sono specchi per la radiazione radio a 21 cm.
Ecco perché lo specchio primario del nostro radiotelescopio non necessita di una lucidatura come per i telescopi ottici.
Fig. 14a
Fig. 14b
I motori che muovono l’antenna hanno anche il compito di muoverla in modo lentissimo, impercettibile agli occhi. Questo perché dopo aver puntato il radiotelescopio verso una sorgente, potremmo doverla osservare anche per tempi molto lunghi, da pochi minuti a qualche ora. E come la mettiamo con il moto della Terra? Noi vediamo il Sole spostarsi nel cielo perché è la Terra a ruotare sul proprio asse e a far sembrare il cielo su di noi in continuo movimento. Le sorgenti nel cielo si spostano così come fa il Sole e se dobbiamo tenere l’antenna puntata su una sorgente per molto tempo dobbiamo “inseguirla”, ossia compensare il movimento apparente della sorgente nel cielo muovendo a nostra volta il telescopio, o il radiotelescopio, che la sta osservando. Ma per lo stesso motivo per cui se guardiamo il Sole non ci da la sensazione che si stia spostando, perché il suo spostamento diurno è lentissimo, allo stesso modo per inseguire una sorgente dobbiamo muovere l’antenna in modo lento ma preciso, per tenere il puntamento sempre sulla sorgente in esame. Questi motori sono quindi potenti ma estremamente precisi e possono muovere l’antenna realmente di millimetri.
Anche il nostro telescopio ha una montatura come quelle illustrate prima, anzi, le ha entrambe. Vediamo in fig. 15 uno schema ottico del radiotelescopio di Noto.
Lo specchio primario è la curva in blu e la radiazione che arriva dallo spazio è rappresentata con le tracce arancio. Dopo la riflessione sullo specchio primario concavo la radiazione si dirige verso il fuoco dove si trova il ricevitore. In questo caso il radiotelescopio è predisposto secondo la montatura Newtoniana. Come si può vedere dall’animazione la radiazione riflessa sullo specchio primario viene raccolta dal ricevitore da tutto lo specchio, in un’unica volta.
Guardiamo adesso l’animazione di fig. 16
In questo caso al posto del ricevitore c’è un altro specchio che riflette nuovamente la radiazione verso un altro fuoco, posto dietro lo specchio primario. Se confrontate la fig. 16 con la fig. 5 vi accorgerete che si tratta di una montatura Cassegrain, con uno specchio primario concavo e uno secondario convesso. In questo modo possiamo mettere alcuni ricevitori nel fuoco Newtoniano, e permettere alla radiazione di raggiungerli spostando meccanicamente lo specchio secondario, e altri nel fuoco Cassegrain, che verrà raggiunto dalla radiazione se lo specchio convesso viene messo in posizione, coprendo i ricevitori del fuoco Newtoniano.
In corrispondenza del fuoco, sia esso Newtoniano o Cassegrain, il ricevitore è formato come descritto nella sezione La catena di acquisizione di un radiotelescopio. Il primo componente che la radiazione incontra appena riflessa dagli specchi è l’horn, uno strumento a forma di tronco di cono che serve a convogliare la radiazione verso la parte realmente sensibile del ricevitore. La forma deriva dalla necessità di ricevere tutta la radiazione proveniente dagli specchi o, come si dice in gergo, illuminare gli specchi. Vediamo la fig. 17
Fig. 17
Fig. 15
Fig. 16
Ci sono tre esempi di come potrebbe essere forgiato l’horn di un ricevitore. Nel caso A l’horn è troppo stretto e la radiazione proveniente dalle parti esterne dello specchio non vi entrano, venendo così perdute. Nel caso C, invece, l’horn è troppo aperto, facendo entrare nel ricevitore anche radiazione che non proviene dallo specchio, aumentando il rumore e alterando le misure del radiotelescopio. Nel caso B l’horn ha esattamente l’apertura giusta per illuminare tutto lo specchio e niente di più, senza perdere segnale o introdurne altro spurio. Utilizziamo in termine “illuminare” per quello che chiamiamo teorema di reciprocità delle antenne: un’antenna può essere utilizzata sia per ricevere che per inviare segnali radio, quindi un’antenna si comporta nello stesso modo sia in ricezione che in trasmissione. Illuminare lo specchio significa che, se volessimo inviare un segnale dal nostro radiotelescopio, potremmo farlo utilizzando lo stesso horn usato in ricezione illuminando, appunto, lo specchio con il segnale in trasmissione.
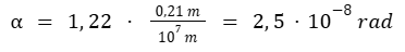
Come qualunque altro telescopio, anche un radiotelescopio ha bisogno di un grande diametro per garantire sensibilità e potere risolutore. Ma per la radiazione radio il potere risolutore è decisamente critico. Proviamo a calcolare il potere risolutore per una radiazione di lunghezza d’onda nel dominio del radio (vedi (La radiazione elettromagnetica), diciamo 21 cm osservata con un radiotelescopio di 1 m di diametro
cioè α = 14,7°
Sapete quale sarebbe il dettaglio più piccolo che potrebbe distinguere? Un oggetto grande quanto 28 lune piene! Praticamente una casa alta 3 piani se vista da cinquanta metri di distanza sarebbe distinta come un unico blocco grigio di forma grossolanamente tondeggiante. Servono quindi strumenti molto grandi per poter distinguere la Luna da un altro oggetto poco distante da essa. Il nostro radiotelescopio ha 32 metri di diametro. Vediamo qual’è il suo potere risolutore a 21 cm
cioè circa 28’ ossia le dimensioni angolari della Luna. Ecco perché i radiotelescopi devono essere di dimensioni che vanno da quelle del nostro in su: solo in questo modo possiamo distinguere tra loro gli oggetti nel cielo, altrimenti oggetti vicini verrebbero confusi insieme come le due stelle del caso A di fig. 6. Per capire in che modo vengono alterate le immagini vediamo la fig. 18.
È inutile spiegarvi che si tratta del Duomo di Milano come lo vedremmo con i nostri occhi. Abbiamo detto che il nostro occhio ha, in luce gialla, un potere risolutivo di 46’’ e che questo potere ci permette di vedere tutti i dettagli della facciata gotica che vedete nella foto. Ma cosa accadrebbe se a guardare il Duomo fosse la nostra antenna di Noto alla lunghezza d’onda di 21 cm? Ovviamente supponiamo che il Duomo sia visibile a quella lunghezza d’onda, ma se dovessimo “scattare una foto” del Duomo (vedremo più avanti che non è così semplice nella banda radio) vedremmo ciò che compare in fig. 19
Gran parte dei dettagli non sono più visibili, confusi in pixel grandi, così grandi da confondere insieme i dettagli in un unico punto luminoso del colore dato dalla miscela di tutti i colori presenti in quella zona. Proviamo ad aumentare il diametro e facciamo andare in piazza Duomo il radiotelescopio di Effelsberg, vicino Bonn in Germania. Il suo diametro è di 100 m, quindi ha un potere risolutore più di tre volte migliore di quello del radiotelescopio di Noto. Ciò che vedrebbe è in fig. 20
Fig. 18
Fig. 19
Fig. 20
Sì, un po’ di dettagli in più ma niente di paragonabile ai nostri occhi. Se volessimo ottenere una foto nella banda radio con la risoluzione dei nostri occhi dovremmo costruire un radiotelescopio di 942 metri di diametro!
Un altro importante ruolo del potere risolutore è distinguere due sorgenti tra loro, come visto in fig. 6. Si tratta della possibilità di distinguere due oggetti tra loro invece di vederli “confusi” in un unico insieme di pixel sull’immagine. Per spiegarlo guardiamo la fig. 21
Qui vediamo le Pleiadi, un ammasso stellare aperto visibile nella costellazione del Toro, accanto alla stella più luminosa della costellazione. Le sette stelle visibili anche ad occhio nudo furono identificate dai Greci con le sette sorelle figlie del titano Atlante e della ninfa Pleione. La foto è stata ottenuta con una risoluzione tale da consentire anche alle stelle più deboli dell’ammasso di essere distinguibili. Adesso riduciamo artificialmente la risoluzione della foto.
In fig. 22 vediamo che le stelle più luminose sono ancora distinguibili, sebbene non con la stessa chiarezza, mentre le stelle più piccole e deboli non sono distinguibili da altre a loro molto vicine. Migliore è il potere risolutore e meglio riusciremo a distinguere le singole sorgenti.
Fig. 21
Fig. 22
Il problema della risoluzione in radioastronomia
Abbiamo visto che il potere risolutore è determinante per poter osservare dettagli di una sorgente o distinguere una sorgente dall’altra, se queste sono dei puntini luminosi. Ma abbiamo anche visto che il potere risolutore di un radiotelescopio è decisamente peggiore anche solo di quello dell’occhio umano, figuriamoci della risoluzione di un buon telescopio o di quelli più potenti. Sembrerebbe che l’osservazione nella banda radio debba soffrire di una debolezza strutturale, l’impossibilità di vedere dettagli utili allo studio di sorgenti che emettono nella banda radio. E invece nel 1967 i radioastronomi vennero a capo di questa cosa utilizzando un sistema elaborato, complesso, impossibile da realizzare senza la presenza di computer, ma decisamente efficace per migliorare la risoluzione delle immagini radio: l’interferometria.
Dovete sapere che quando la radiazione elettromagnetica passa attraverso una apertura, che sia un foro, l’imboccatura di un telescopio o anche uno specchio concavo, insomma qualcosa che abbia dei confini, subisce una modifica importante che siamo stati in grado di modellare con una funzione matematica. Detto in parole povere, se consideriamo un’onda in generale, ed in particolare un’onda elettromagnetica, possiamo descriverla con una funzione matematica prima e dopo che essa abbia attraversato l’apertura di cui parlavamo. Esiste una funzione matematica che mette in relazione i due momenti, che chiamiamo Trasformata di Fourier, dal matematico francese che la sviluppò. Se prima di riflettersi nello specchio concavo l’onda elettromagnetica si può rappresentare con una certa funzione, dopo la riflessione l’onda è rappresentata dalla trasformata di Fourier della stessa funzione. E la cosa è reversibile. La possiamo vedere con un esempio. Se mettete la vostra mano destra davanti ad uno specchio, sembrerà una mano sinistra: se guardate la vostra mano sinistra, con il palmo rivolto verso di voi, noterete che è identica alla riflessione della vostra mano destra vista nello specchio. Ma se invertiamo il processo e consideriamo la riflessione della vostra mano sinistra, essa apparirà come una mano destra. La “funzione” matematica in questo caso è la riflessione dello specchio. Se a riflettersi è una mano con il pollice alla vostra sinistra (ossia una mano destra, provate a verificare!) nello specchio vi apparirà una mano con il pollice verso destra, come la vostra mano sinistra, ovviamente se viste dalla parte del palmo. E, ovviamente, viceversa. Matematicamente questo si può rappresentare come l’inversione dell’asse x di un sistema di assi cartesiani. Vogliamo complicare l’esperimento? Prendete un cucchiaio o, anche meglio, un mestolo di metallo. Mettete l’indice di una mano davanti al mestolo, dalla parte concava: vi accorgerete che l’immagine riflessa è ribaltata, sottosopra rispetto a come avete messo il dito. Adesso ribaltate il vostro dito: vedrete la riflessione ribaltarsi nuovamente ed essere sempre sottosopra rispetto a come avete messo il dito. L’onda elettromagnetica che chiamiamo luce (vedi La radiazione elettromagnetica) si riflette sul vostro dito, rimbalza ancora sul mestolo e raggiunge i vostri occhi. Prima della riflessione la luce ha una direzione, dopo la riflessione la sua direzione viene cambiata. Come ogni cosa possiamo rappresentare questo cambiamento con una relazione matematica che nel nostro caso è rappresentata dalla trasformata di Fourier. Non è assolutamente il caso che noi spieghiamo qui di cosa si tratta, ma basta sapere che applicare questa funzione all’immagine la trasforma nell’oggetto e viceversa. Quindi, osservando un oggetto nel cielo raccogliendone l’immagine in qualsiasi modo abbiamo la sua trasformata di Fourier e applicando l’inverso della trasformata di Fourier all’immagine abbiamo di nuovo l’oggetto nella forma in cui si trova nel cielo.
È su questo che si basa l’interferometria radio. Invece di osservare con un solo radiotelescopio, raccogliamo l’immagine di un oggetto astronomico con un sistema di molti radiotelescopi disseminati in una regione. Possono essere lontani tra loro decine, centinaia persino migliaia di chilometri o più. Quando osserviamo questi oggetti, registriamo il segnale su memorie SSD e successivamente combiniamo insieme tutte le osservazioni effettuate da ogni singolo radiotelescopio con quelle di tutti gli altri che hanno partecipato all’osservazione. Anche questa operazione è fatta con la matematica, una operazione che si chiama correlazione. Una volta fatto questo per tutti i dati raccolti, avremo un insieme di dati correlati, tutti in un unico file. A questo punto operiamo la trasformata di Fourier su questo insieme di dati et voilà! Ritrasformiamo questi dati in una immagine come appare nel cielo. Stavolta, però, il potere risolutore non dipende più dal diametro della singola antenna ma dalla distanza tra le antenne. In definitiva, fare questa operazione ha migliorato la risoluzione di migliaia di volte, in proporzione a quanto lontani erano tra loro i radiotelescopi che hanno osservato. Un esempio? Se due radiotelescopi sono distanti 50 km il potere risolutore lungo la direzione che li congiunge sarà
ossia α = 1´´ cioè simile ai migliori telescopi ottici a terra. Ma possiamo fare di meglio. Vediamo in fig. 23 lo European VLBI Network, cioè la Rete Eropea del VLBI, dove VLBI è l’acronimo che identifica la tecnica di interferometria radio utilizzata chiamata Very Long Baseline Interferometry, Interferometria a Lunghissima Base, dove la base lunghissima è la distanza tra le antenne coinvolte che è anche di circa diecimila chilometri.
L’EVN è formata da 19 radiotelescopi nati in momenti diversi e che fanno osservazioni in combinazione tra loro ormai da più di quarant’anni. La risoluzione raggiungibile con circa diecimila chilometri di lunghezza di base è, alla solita lunghezza d’onda di 21 cm
cioè cinque millesimi di secondo d’arco. Riprendendo la foto di fig. 9, potremmo vedere come ben distinte le foglie di un albero alla distanza di 1600 chilometri!
Come fare una foto nella banda radio?
E torniamo al quesito di partenza: possiamo fare una “foto” di un oggetto astronomico nella banda radio? Sì, possiamo, ma a certe condizioni.
Cominciamo considerando di realizzare una immagine di un oggetto con un singolo radiotelescopio. Come abbiamo visto la risoluzione di un telescopio da solo non ci permette di fare molto, ma esistono oggetti che abbiano dimensioni angolari molto più grandi del potere risolutore del singolo radiotelescopio. In questo caso ci scontriamo con un altro ostacolo: il radiotelescopio “vede” solo un pixel alla volta! Lo vediamo qui, in fig. 24
In questa immagine abbiamo riportato uno specchio come quello di un radiotelescopio, ma l’oggetto che viene osservato è esteso.
Fig. 24
Da ogni punto dell’oggetto arriva un raggio luminoso che viene riflesso in un punto diverso del piano focale, un piano che passa per il fuoco e su cui si forma l’immagine dell’oggetto. Nel caso del radiotelescopio il ricevitore si trova soltanto nel fuoco e non c’è nient’altro sul piano focale per raccogliere la radiazione. È come se una fotocamera avesse solo un pixel, al centro, e nella figura solo il punto colorato di rosso sarà visibile dal radiotelescopio. Gli altri punti saranno visibili solo se il radiotelescopio venisse puntato in una direzione diversa.
Esistono dei sistemi per ottenere una sorta di piano focale anche per i radiotelescopi e uno schema di come sono fatti è mostrato nella parte destra della figura. Si chiamano Phased Array Feed (PAF) e sono ricevitori con una griglia di elementi sensibili uno accanto all’altro che permettono di rivelare la radiazione proveniente da molti punti dell’oggetto osservato contemporaneamente e senza spostare il radiotelescopio. Questo è uno dei sistemi che possono essere utilizzati per creare una immagine di una regione di cielo purché l’oggetto di cui vogliamo ottenere una immagine abbia dimensioni angolari maggiori della risoluzione dell’antenna a quella frequenza. Ma i PAF sono strumenti utilizzati su un numero esiguo di radiotelescopi, come nell’australiano Australian Square Kilometer Array Pathfinder (ASKAP) o il radiotelescopio di Effelsberg in Germania e solo per un range limitato di lunghezze d’onda. Il radiotelescopio di Noto non è dotato di questi ricevitori, quindi dobbiamo ricorrere ad un’altra soluzione.
Dato che, come abbiamo visto, l’antenna di Noto può vedere un pixel alla volta, possiamo ricostruire una immagine prendendo l’immagine dei singoli pixel. Guardate la fig. 25.
Il riquadro blu che si nota è una regione di cielo di cui vogliamo fare una immagine radio. In basso l’antenna punta di volta in volta un quadrato di cielo delle dimensioni del potere risolutore. Il radiotelescopio punta una zona, ne acquisisce la luminosità tramite uno dei backend e il dato viene registrato. Successivamente i dati raccolti possono essere utilizzati per rappresentare l’immagine radio di quella regione di cielo tramite un diagramma a isofote. Guardiamo l’animazione di fig. 26
Fig. 25
Fig. 26
La regione di cielo viene osservata un “pixel” alla volta, ossia l’antenna punta in una direzione del riquadro di cui vogliamo ottenere una immagine e acquisisce la radiazione che proviene da quel punto. Ne viene registrato un numero che corrisponde alla luminosità radio percepita dall’antenna. Supponiamo che vi siano dei punti in cui l’antenna “legge” un valore di intensità luminosa 1. Tutti quei punti vengono contrassegnati con quel valore sul diagramma di fig. 28. Altri punti avranno un valore 2 ed anche quelli vengono contrassegnati dal loro valore. Infine vengono contrassegnati i punti con un valore di luminosità radio 3. Adesso uniamo i punti, come si fa nei giochi enigmistici, ma stavolta invece di farlo in sequenza numerica uniamo i punti con lo stesso valore. Vedete che si formano delle linee chiuse in cui tutti i punti hanno la stessa luminosità: queste linee si chiamano isofote dal greco “isos”, uguale, e “photos”, luce. Sono linee in cui la luminosità è uguale in ogni punto. In questo modo possiamo tracciare delle linee chiuse che racchiudono delle zone in cui la luminosità è maggiore di quella al di fuori di esse. Se all’interno della prima linea tracciamo l’isofota con la luminosità maggiore avremo una seconda curva che a sua volta racchiuderà una zona di luminosità maggiore sia della regione tra le due linee che, ovviamente, del resto del riquadro. La terza isofota racchiude una zona di luminosità ancora maggiore e si prosegue fino a raggiungere il massimo di luminosità in tutto il riquadro. In questo caso avremo una radiosorgente con una forma allungata e con una zona centrale più luminosa che digrada verso l’esterno. In fig 27 possiamo vedere alcune immagini radio ottenute con lo stesso sistema di visualizzazione a isofote.
Come potete vedere ciascuna sorgente ha una forma ed una luminosità peculiari che ci permetteranno di studiarne la struttura e i fenomeni che generano l’emissione radio. Le stesse immagini possono essere anche rese in “falsi colori”, come vedete in fig. 28.
Qui le zone tra le isofote vengono colorate con colori che in realtà non esistono, visto che le onde elettromagnetiche radio non hanno colori. Una ricostruzione in falsi colori evidenzia meglio le diverse regioni di una radiosorgente all’occhio umano, che è molto più sensibile alle differenze di colore che a quelle di luminosità.
La tecnica che abbiamo illustrato, ossia l’osservazione con un’antenna fatta per punti, si chiama nodding, ma non è l’unico sistema. Possiamo anche ottenere mappe per scanning, un sistema in cui l’antenna scorre continuamente lungo la regione da osservare mentre non smette mai di prendere dati. È un sistema più veloce ma a volte meno sensibile.
Infine, anche la tecnica del VLBI che abbiamo visto in precedenza consente di ottenere delle immagini come quelle mostrate. Questo è dovuto al fatto che il dato raccolto dalle varie antenne e correlato viene poi processato con la trasformata di Fourier. Questa operazione viene effettuata in modo discreto, ossia su una griglia di pixel, punto per punto, in cui le dimensioni dei singoli pixel dipendono, come abbiamo visto, dalla distanza massima tra le antenne coinvolte nell’osservazione. Riportando su una griglia dello schermo l’illuminazione di ciascun punto e procedendo alla creazione di un diagramma ad isofote o ad uno in falsi colori otteniamo immagini simili a quelle ottenute per mapping, ma stavolta di oggetti che hanno dimensioni totali enormemente più piccole di quelle che si possono ottenere con il nodding o lo scanning.
Cosa ci facciamo con queste immagini, lo descriveremo nella sezione Osservare nella banda radio
Fig. 27
Fig. 28a
Fig. 28b
Qui le zone tra le isofote vengono colorate con colori che in realtà non esistono, visto che le onde elettromagnetiche radio non hanno colori. Una ricostruzione in falsi colori evidenzia meglio le diverse regioni di una radiosorgente all’occhio umano, che è molto più sensibile alle differenze di colore che a quelle di luminosità.
La tecnica che abbiamo illustrato, ossia l’osservazione con un’antenna fatta per punti, si chiama nodding, ma non è l’unico sistema. Possiamo anche ottenere mappe per scanning, un sistema in cui l’antenna scorre continuamente lungo la regione da osservare mentre non smette mai di prendere dati. È un sistema più veloce ma a volte meno sensibile.
Infine, anche la tecnica del VLBI che abbiamo visto in precedenza consente di ottenere delle immagini come quelle mostrate. Questo è dovuto al fatto che il dato raccolto dalle varie antenne e correlato viene poi processato con la trasformata di Fourier. Questa operazione viene effettuata in modo discreto, ossia su una griglia di pixel, punto per punto, in cui le dimensioni dei singoli pixel dipendono, come abbiamo visto, dalla distanza massima tra le antenne coinvolte nell’osservazione. Riportando su una griglia dello schermo l’illuminazione di ciascun punto e procedendo alla creazione di un diagramma ad isofote o ad uno in falsi colori otteniamo immagini simili a quelle ottenute per mapping, ma stavolta di oggetti che hanno dimensioni totali enormemente più piccole di quelle che si possono ottenere con il nodding o lo scanning.
Cosa ci facciamo con queste immagini, lo descriveremo nella sezione L’astronomia nella banda radio
Misure di luminosità
Una delle più antiche misurazioni sugli oggetti astronomici mai fatte dall’uomo è la luminosità. Quando, infatti, non possedevamo nessuno strumento in grado di ingrandire le sorgenti nel cielo si poteva comunque notare che alcune stelle erano più luminose di altre. Il raffronto fatto ad occhio nudo non è molto accurato, ma è stato adoperato per talmente tanto tempo che il sistema delle magnitudini nella misurazione della luminosità apparente e assoluta delle sorgenti astronomiche è rimasto tuttora il vigore. Ad ogni modo, anche nella banda radio, come in tutte le altre, è possibile fare delle misure di luminosità, utilizzando tecniche un po’ diverse da quelle usate, ad esempio, con la luce visibile. Vediamo come si fa una misura di flusso radio e quindi di luminosità.
Intanto definiamo flusso di una sorgente la quantità di energia che riceviamo al secondo e per ogni metro quadro. In particolare, nella banda radio utilizziamo una unità di flusso per unità di frequenza. Lo chiamiamo Jansky, da Karl Guthe Jansky un fisico statunitense di origini ceche che fu il primo ad osservare per caso una sorgente astronomica nel dominio delle onde radio. Il valore di un Jansky è di
Tanto per capire quanto è piccola questa unità, e dunque quanto sono deboli le sorgenti che osserviamo, alla frequenza di 1 GHz, ossia un miliardo di Hertz, il Sole ha un flusso radio di
106 – 108 Jy, ossia 10-18 W Hz-1 m-2 ed è proprio dietro l’angolo, ma molte sorgenti hanno un flusso di 1 Jy o anche molto meno. Conosciamo sorgenti di 50 milionesimi di Jy.
Pensate a quanto sono sensibili i nostri radiotelescopi!
Adesso dobbiamo considerare come calcolare il flusso corretto dal dato che viene registrato. Infatti, come si può vedere nella sezione La catena di acquisizione di un radiotelescopio, ciò che registriamo è una corrente che dobbiamo mettere in relazione con l’energia dei fotoni arrivati dalla sorgente esaminata. In astronomia ottica questo viene ottenuto semplicemente facendo un confronto con una sorgente di flusso noto, dato che nel cielo ce ne sono tante. Ma le sorgenti radio non solo sono molte meno in numero, ma molte sono anche variabili e quindi non adatte ad essere utilizzate come sorgenti di riferimento o calibratori. In questo caso sfruttiamo la possibilità di produrre un segnale radio fittizio attraverso un diodo calibrato, confrontando quindi l’energia raccolta dalla sorgente con il diodo calibratore che chiamiamo marca di rumore.
Infine misuriamo il flusso della sorgente confrontandola con il flusso del cielo nei suoi dintorni, che deve essere vuoto da altre sorgenti. Questa operazione si può fare in due modi.
Il primo è chiamato on-off. Come dice lo stesso nome puntiamo l’antenna sulla sorgente (on) e prendiamo la misura e poi rifacciamo la stessa misura ma puntando l’antenna fuori sorgente (off). La differenza di segnale registrato è il segnale prodotto dalla sorgente e confrontando questo segnale con la marca abbiamo il flusso della sorgente in Jy.
L’operazione viene effettuata diverse volte e portando l’antenna fuori sorgente in diverse direzioni, tipicamente nelle quattro posizioni: in alto, basso destra e sinistra della sorgente, disegnando una croce intorno ad essa. (fig. 29)
Il secondo metodo è più preciso a causa della velocità di misura ed è chiamato cross scan. Si porta l’antenna fuori sorgente di un certo angolo e si fa scorrere l’antenna verso la sorgente fino a oltrepassarla dello stesso angolo dall’altra parte. Guardate l’animazione in fig. 30.
Ad intervalli regolari e molto piccoli (si parla di 30 misure al secondo) viene presa una misura dell’energia ricevuta dall’antenna. Con questi dati è possibile ricostruire un grafico come la traccia in bianco in fig. 30. Il picco centrale che vedete è proprio la sorgente che stiamo esaminando e il massimo è il flusso che stavamo cercando. Anche questo viene calibrato con la marca per ottenere il dato in Jy e anche in questo caso effettuiamo diverse misure e in croce, facendo uno scan in azimuth e uno in elevazione, da cui il nome di cross scan (vedi Il radiotelescopio).
E la luminosità? Quello che abbiamo trovato finora è il flusso della sorgente, ossia la sua luminosità apparente, data dalla combinazione della potenza della sorgente stessa e della sua distanza. Per ottenere la luminosità abbiamo bisogno della distanza che può essere ottenuta con diversi metodi a seconda della sua entità. Per le galassie, ad esempio, ci serviamo della legge di Hubble, che stabilisce come lo spostamento verso il rosso dello spettro delle galassie sia correlato alla distanza. Una volta nota la distanza la luminosità si ottiene semplicemente dalla relazione
L = F · 4πD2
dove L è la luminosità, F il flusso in Jy, D la distanza della galassia in questione e π la conosciamo tutti.
Misurare la luminosità di una sorgente è utile sia per mettere questa luminosità in relazione ad altre caratteristiche della sorgente per capire se ci sono legami tra i vari fenomeni che vi hanno luogo. Inoltre la variabilità della sorgente, ottenuta con misure di flusso fatte in tempi diversi, può dare informazioni importanti sulle dimensioni della regione emittente e sui meccanismi fisici in atto.
Fig. 29
Fig. 30
Radiazione elettromagnetica
Torna all’indice
Catena di acquisizione
Un radiante è una unità di misura degli angoli basato sul rapporto tra una circonferenza e il suo raggio (radiante, viene da radius, raggio in latino). Un radiante è un angolo che sarebbe individuato se sovrapponiamo su una circonferenza il suo raggio, come si vede in figura.
CCD sta per Charge Coupled Device, dispositivo ad accoppiamento di carica. Si tratta di strumenti in cui uno strato di materiale semiconduttore viene reso più sensibile all’effetto fotoelettrico, un effetto che permette agli elettroni di un materiale di essere sottratti al loro atomo e poter sfuggire dal materiale o muoversi liberamente in esso. A seguito dell’azione della luce su un punto si liberano all’incirca tanti elettroni quanti fotoni arrivano su quel punto e la carica resta imprigionata da un campo elettrico che cattura gli elettroni. Contando gli elettroni di ciascun punto, che definiamo pixel, si può sapere quanti fotoni sono arrivati e dal numero di fotoni arrivati su tutti i pixel si può ricostruire una immagine bidimensionale.
